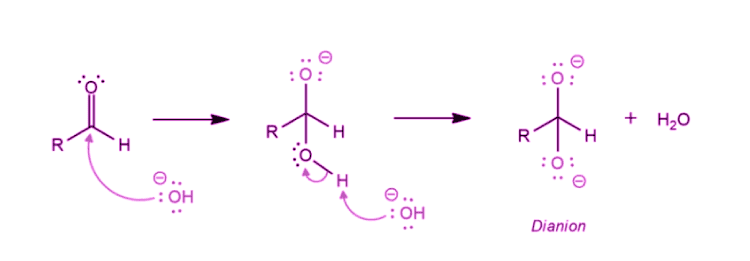
Mechanism of Cannizzaro Reaction

Mechanism Step 1

A nucleophile such as a hydroxide ion is used to attack the carbonyl group of the given aldehyde, causing a disproportionation reaction and giving rise to an anion carrying 2 negative charges.

Mechanism Step 2

This resulting intermediate can now function as a hydride reducing agent. Due to its unstable nature, the intermediate releases a hydride anion. This hydride anion proceeds to attack another aldehyde molecule. Now, the doubly charged anion is converted into a carboxylate anion and the aldehyde is converted into an alkoxide anion.

Mechanism Step 3

In this final step, water offers a proton to the alkoxide anion which gives rise to the final alcohol product. The reaction can proceed since the alkoxide is more basic than water. Now, the carboxylate ion gives rise to the final carboxylic acid product when acid workup is used (the acid workup is required since carboxylate is less basic than water and therefore cannot obtain a proton from water).

Leave a comment

Your email address will not be published. Required fields are marked *