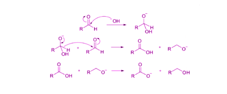
Crossed Cannizzaro Reaction is not surprising that the reaction produces only 50% of the required alcohol and carboxylic acid at ideal conditions. This is why the crossed Cannizzaro reaction is more commonly used. A sacrificial aldehyde is combined with a more valuable chemical and formaldehyde is used as a reductant, oxidizing it to sodium formate. The required alcohol is obtained from the reduction of the other aldehyde chemical. Since 2 different aldehydes can be completely converted into the required product, the yield of the valuable chemical is increased.

To conclude, the Cannizzaro reaction can be used to influence a disproportionation of a non-enolizable aldehyde. The cross Cannizzaro reaction is employed to increase the yield of the valuable chemical.